Integer sequence
 

Integer sequence problem 8


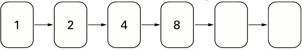
Fill in the missing numbers in these number chains.


Rule: Multiply by 2 each time.



 

main author and content editor: OpenProf website